| |
|
|
|
| |
|
|
|
 |
|
2. TEOREMA DEL VALOR MITJÀ |
|
| |
|
|
|
| |
|
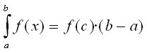
Si f(x) és una funció continua i definida positiva a l’interval [a,b] existeix un punt c entre a i b tal que: |
|
| |
|
|
|
| |
|
|
|
| |
|
|
|
| |
|
|
|
Això es pot interpretar geomètricament: existeix un valor c entre a i b tal que l’àrea del rectangle de base (b-a) i altura f(c) iguala l’àrea del trapezi mixtilini. |
|
| |
|
Fig2.1,La part ratllada de blau, trapezi mixtilini; part ratllada roig, rectangle. |
|
|
|
| |
|
|
|
 |
|
PRACTICA 2.1. |
|
| |
|
|
|
| |
|
Obre la finestra de la Wiris i troba "a mà " el valor c que iguala les dues àrees.
|
|
| |
|
|
|
| |
|
|
|
| |
|
|
|
 |
|
EXERCICI 2.1 |
|
| |
|
|
|
| |
|
Calcula l'altura del rectangle de base l'interval [1,3] que iguala l'àrea del trapezi mixtilini determinat per
i les rectes x=1 i x=3
|
 |
| |
|
|
Ajuda |
|
|
|
|
| |
|
|
|