Matemàtiques - 2n BAT - Exercicis càlcul de límits amb la regla de l'Hopital

Llibre Matemàtiques 2n Batxillerat McGrawHill (Besora, Guiteras, Jané)


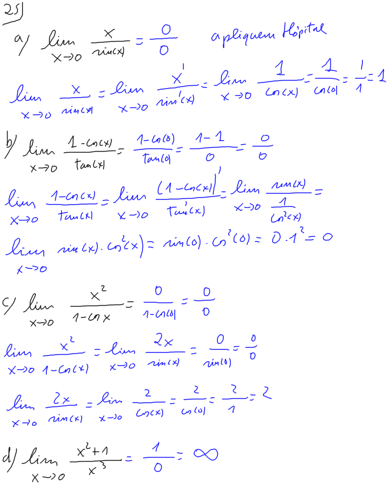
1-Calcula els límits següents:








2-Calcula els límits següents:


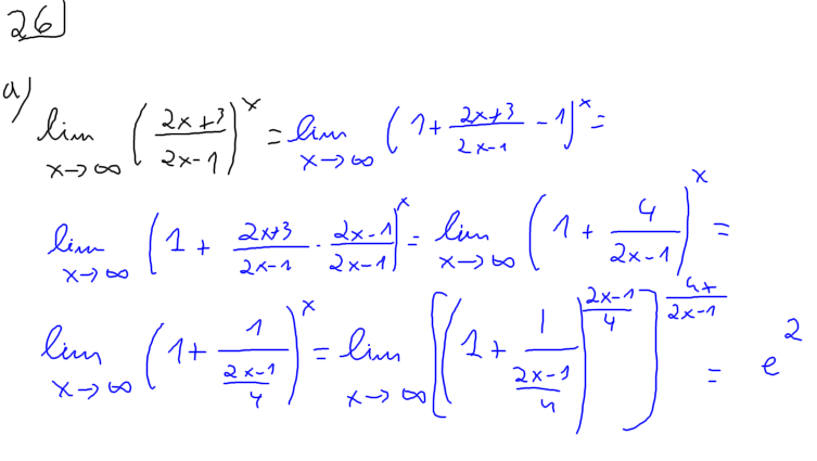
a- `\lim_{x\to \+infty} ((2x+3)/(2x-1))^x`




b- `\lim_{x\to 0} (1+x)^(3/x)`


SOLUCIÓ:

    `\lim_{x\to 0} (1+x)^(3/x)=1^\infty`


    `\lim_{x\to 0} ln(1+x)^(3/x)`


    `\lim_{x\to 0} (3ln(1+x))/x=0/0`


    `\lim_{x\to 0} ((3ln(1+x))')/(x')`


    `\lim_{x\to 0} (3/(1+x))/1`


    `\lim_{x\to 0} 3/(1+x)=3`


    `\lim_{x\to 0} ln(1+x)^(3/x)=3`


    `e^(\lim_{x\to 0} ln(1+x)^(3/x))=e^3`


    `\lim_{x\to 0} e^(ln(1+x)^(3/x))=e^3`


    `\lim_{x\to 0} (1+x)^(3/x)=e^3`





c- `\lim_{x\to \infty} (1+1/x)^x`



d- `\lim_{x\to \infty} ((x+1)/(x-1))^(3x)`






3-Calcula els límits següents:


a- `\lim_{x\to 0} (1-cosx)^(2x)`


SOLUCIÓ:

    `\lim_{x\to 0} ln(1-cosx)^(2x)`


    `\lim_{x\to 0} 2xln(1-cosx)`


    `\lim_{x\to 0} ln(1-cosx)/(1/(2x))=\infty/\infty`


    `\lim_{x\to 0} ((ln(1-cosx))')/((1/(2x))')`


    `\lim_{x\to 0} (sinx/(1-cosx))/(-1/(2x^2))`


    `\lim_{x\to 0} (-2x^2sinx)/(1-cosx)=0/0`


    `\lim_{x\to 0} ((-2x^2sinx)')/((1-cosx)')`


    `\lim_{x\to 0} (-4xsinx-2x^2cosx)/sinx=0/0`


    `\lim_{x\to 0} ((-4xsinx-2x^2cosx)')/((sinx)')`


    `\lim_{x\to 0} (-4(sinx+xcosx)-2(2xcosx+x^2(-sinx)))/(cosx)`


    `\lim_{x\to 0} (-4sinx-4xcosx-4xcosx+2x^2sinx)/(cosx)`


    `\lim_{x\to 0} (-4sinx-8xcosx+2x^2sinx)/(cosx)=0/1=0`


    `\lim_{x\to 0} ln(1-cosx)^(2x)=0`


    `e^(\lim_{x\to 0} ln(1-cosx)^(2x))=e^0`


    `e^(\lim_{x\to 0} ln(1-cosx)^(2x))=e^0`


    `\lim_{x\to 0} e^(ln(1-cosx)^(2x))=1`


    `\lim_{x\to 0} (1-cosx)^(2x)=1`





b- `\lim_{x\to \pi/2} (sinx)^tanx`



c- `\lim_{x\to 0} (e^x-e^(-3x))/ln(1+x)`



d- `\lim_{x\to 0} x^4lnx`


SOLUCIÓ:

    `\lim_{x\to 0} x^4lnx=0·\infty`


    `\lim_{x\to 0} lnx/(1/x^4)=\infty/\infty`


    `\lim_{x\to 0} ((lnx)')/((1/x^4)')`


    `\lim_{x\to 0} (1/x)/((-4)/x^5)`


    `\lim_{x\to 0} (x^5)/(-4x)`


    `\lim_{x\to 0} (x^4)/(-4)=0`








4-Calcula els límits següents:


a- `\lim_{x\to 0} (xcosx-sinx)/x^3`



b- `\lim_{x\to 0} (e^x-e^(-x)-2x)/(x-sinx)`



c- `\lim_{x\to 0} ((1-cosx)sinx)/x^2`