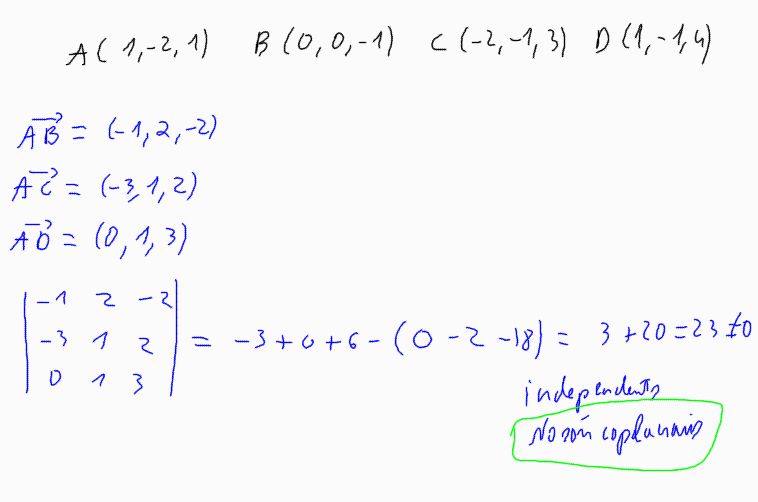
Matemàtiques 2n BAT - Exercicis de vectors

Es demana si els següents punts estan en el mateix pla: (1, -2, 1); (0, 0, -1); (-2, -1, 3); (1, -1, 4).