Matemàtiques 2n BAT - Exercicis de vectors

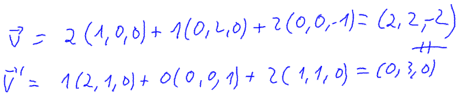
És possible que els components d'un vector v en la base B = {(1, 0, 0); (0, 2, 0); (0, 0, -1)} siguin (2, 1, 2) i que en la base B' = {(2, 1, 0); (0, 0, 1); (-1, 1, 0)} siguin (1, 0, 2)?.