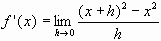
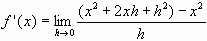
Demostració. Derivada de x²