Exercicis del teorema de Bolzano

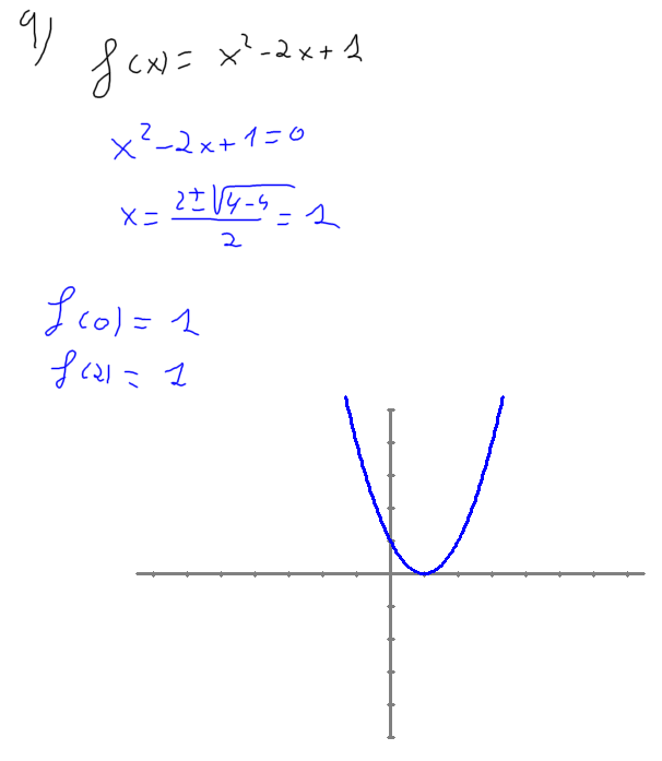
1-Tenim la funció f(x) = x2 - 2x +1.
Existeix un c tal que f(c) = 0?
Explica si a aquesta funció es pot aplicar el teorema de Bolzano a l'interval [0, 2].


Si existeix c = 1 tal que f(c) = 0.

No es pot aplicar Bolzano ja que f(2) = 1 i f(2) = 1 i no tenen signes diferents.