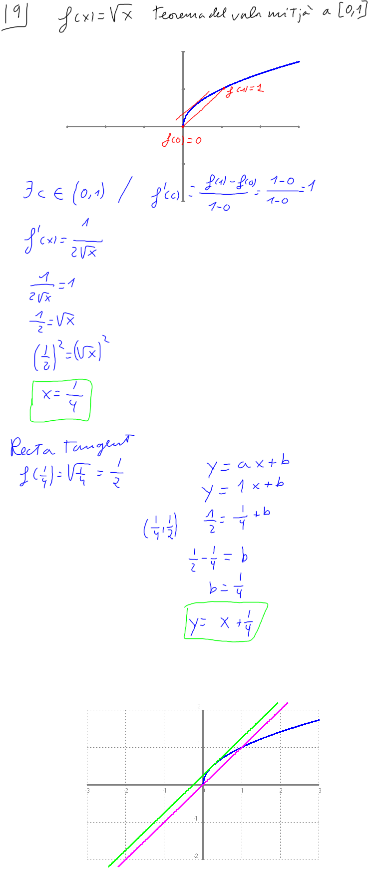
Exercicis apliacació del Teorema del valor mitjà 1-Demostra que a la funció f(x) = x1/2 (arrel quadrada de x) se li pot aplicar el teorema del valor mitjà a l'interval [0, 1]. Calcula el punt c de l'interval tal que f'(c) = 1. Troba l'equació de la recta tangent a la corba en aquest punt. ![]() |