Exercicis d'aplicació de la integral definida

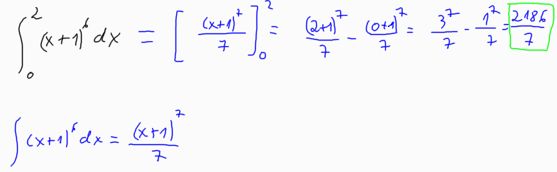
2-Calcula la següent integral definida: