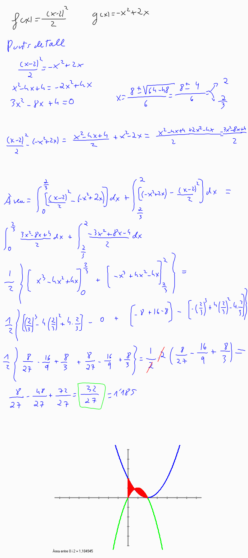
Exercicis d'aplicació de la integral definida
10-Calcula l'àrea de color vermell entre les funcions
f(x) = (x-2)
2
/2
i la funció
g(x) = -x
2
+ 2x
.