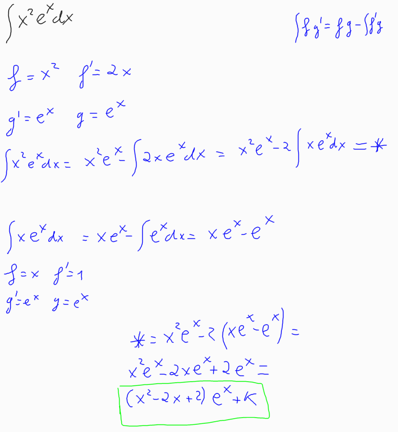
Exercicis de càlcul de la integral indefinida per parts

3-