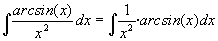
Exercicis de càlcul de la integral indefinida per parts

14- Fora de concurs

 

La integral la fem per parts:

 

****

Per fer la integral que ens queda la calculem amb el següent canvi de variable

x = sin(t)

dx = cos(t)dt

 

Finalment per fer la integral de 1/sin(t), cosec(t) que hem calculat anteriorment i desfem el canvi:

 

****

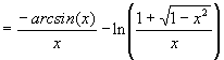
En definitiva