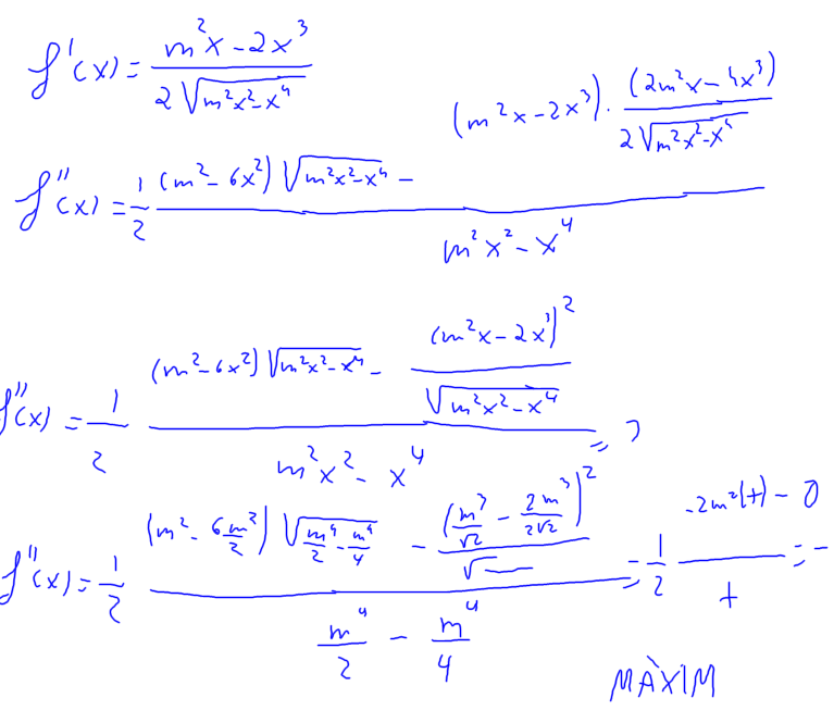
![]() Per demostrar que és un màxim el que farem és calcular la imatge en el candidat a ser màxim i a dos punts a la seva esquerra i a la seva dreta. Veiem que la imatge de l'extrem és positiva i les imatges Àrea(m) = 0 i Àrea(0) = 0 com que les imatges dels costats són més petites que la imatge de l'extrem, aquest extrem és un màxim. ![]() Ho hem fet així ja que això és més senzill que fer-ho a través del càlcul de la segona derivada i calcular el signe de la mateixa. Tot i així a continuació comprovarem que és un màxim calculant la segona derivada. Recordem que no cal saber el valor de la segona derivada, només cal calcular el signe. ![]() |