Recull d'exercicis de selectivitat. Integral Definida

6.       

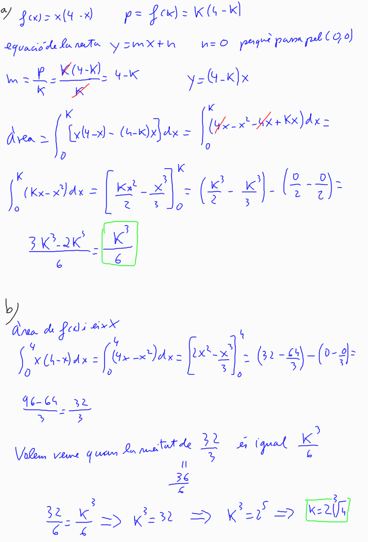
(2010-juny-5) 6. En la figura es mostra la corba y = x(4 - x) i una recta r que passa per l'origen i talla la corba en un punt P d'abscissa k, amb 0 < k < 4.

a) Trobeu l'ŕrea ombrejada, delimitada per la corba i la recta, en funció de k.

b) Trobeu per a quin valor de k l'ŕrea de la regió ombrejada és la meitat de l'ŕrea

del recinte limitat per la corba i l'eix OX.

[1 punt per apartat]