Matrius i sistemes

 

Sistemes

 

1.       

(2009-juny-4) 4. En la resolució pel mètode de Gauss d’un sistema de tres equacions amb tres incògnites ens hem trobat amb la matriu següent:


a) Expliqueu, raonadament, quin és el caràcter del sistema inicial.

b) Si és compatible, trobeu-ne la solució.

[1 punt per cada apartat]

 

 

2.       

(2009-juny-3) 3. Donat el sistema :


a) Discutiu-ne el caràcter en funció del paràmetre p.

b) Resoleu-lo quan p = 2.

[1,5 punts per l’apartat a; 0,5 punts per l’apartat b]

 

 

3.       

(2009-setembre-1) 6. Considereu el sistema d’equacions següent:



a) Expliqueu, raonadament, si es tracta d’un sistema lineal homogeni.

b) Construïu-ne la matriu de coeficients i la matriu ampliada.

c) Trobeu els valors del paràmetre a per als quals el sistema no és compatible

determinat, i estudieu el caràcter del sistema en cada un d’aquests casos.

d) Resoleu-lo solament quan el conjunt de les seves solucions és una recta de .

[0,5 punts per l’apartat a; 0,5 punts per l’apartat b; 2 punts per l’apartat c; 1 punt per l’apartat d ]


Solució

 

 

4.       

(2010-juny-1) 2. Donat el sistema d’equacions lineals :



a) Estudieu-ne el caràcter (és a dir, si és compatible o no i si és determinat o no) en

funció del paràmetre p.

b) Comproveu que si p ≠ 5 la solució del sistema no depèn del valor d’aquest paràmetre.

[1,5 punts per l'apartat a; 0,5 punts per l'apartat b]


Solució

 

 

 

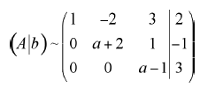
5.       

(2010-juny-4) 4. Hem escalonat la matriu ampliada d’un sistema d’equacions lineals,

A · X = b, i hem obtingut:

a) Discutiu aquest sistema en funció del paràmetre a.

b) Resoleu-lo quan a = 2.

[1,5 punts per l'apartat a; 0,5 punts per l'apartat b]


Solució

 

 

6.       

(2010-juny-5) 1. Considereu un sistema qualsevol de dues equacions amb tres incògnites. Responeu

raonadament a les qüestions següents:

a) És possible que el sistema considerat sigui compatible determinat?

b) Pot ser incompatible?

[1 punt per cada apartat]

 

 

7.       

(2011-juny-1) 4. Considereu el sistema d’equacions següent:



a) Calculeu els valors del paràmetre a perquè el sistema no sigui compatible determinat.

b) Hi ha algun valor de a per al qual x=1, y=–3, z=–1 sigui l’única solució del sistema?

[1 punt per cada apartat]

 

 

8.       

(2011-juny-4) 4. Analitzeu, segons els valors del paràmetre k, el caràcter (és a dir, si és compatible o no i si és determinat o no) del sistema d’equacions següent:

[2 punts]