Matemàtiques - 4 ESO - Funcions, generalitats, funció lineal


- Fes la següent fitxa, amb el programa funcions, per aprendre els conceptes lligats a les funcions.


- Una coneguda marca d'analgèsics per a nens mostra la següent taula per administrar la dosi:


a) Si un nen pesa 10 kg, quina dosi cal donar-li?
b) I si en pesa 28 kg?
c) Si li han donat 0'9 ml, quant pesa el nen?
d) En el cas anterior, quants grams de paracetamol s'ha pres?
e) En el cas anterior, A quantes gotes equival?



- Amb la taula anterior dibuixa una gràfica que ens digui els mil·ligrams de paracetamol que cal prendre en funció del pes de la persona.



- Fes l'exercici anterior fent servir el programa Funcions per a Windows (A partir d'ara en direm Programa Funcions).



- Fes l'exercici anterior fent servir un full de càlcul, per exemple l'OpenOffice-Calc.



En general les representacions de les gràfiques seria bo fer-ho amb el programa funcions. Unes quantes s'haurien de fer també a mà.

Recordeu que per dibuixar una funció lineal només cal fer una taula amb dos punts i dibuixar la recta que passa per ells.




- Representeu les funcions:
Solució:



- Representeu les funcions:
Solució:



- Representeu les funcions:
    f(x) = x

    g(x) = x + 2

    h(x) = x - 3
Solució:



- Representeu les funcions:
    f(x) = -x

    g(x) = -x + 2

    h(x) = -x - 3
Solució:



- Representeu la funció: f(x) = 2'5x + 1'5. Indica'n el següent:
a) Imatge del 0.
b) Ordenada a l'origen.
c) Intersecció amb l'eix y.

d) Solució de l'equació 2'5x + 1'5 = 0.
e) Arrel.
f) Intersecció amb l'eix x.

g) Imatge de l'1.
h) Calcula la diferència entre la imatge de l'1 i la imatge del 0.
i) Pendent de la recta?



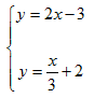
- Representeu en un mateix lloc les funcions f(x) = 2x - 3 i g(x) = (1/3)x + 2. Indica'n el punt de tall.

Solució:




- Resol el següent sistema d'equacions:
Observes alguna cosa comparant amb el problema anterior?

Solució:

Ho resolen per igualació ja que tenim les y aïllades:

    `2x - 3 = x/3 + 2`

    `6x - 9 = x + 6`

    `6x - x = 6 + 9`

    `5x = 15`

    `x = 15/5`

    `x = 3`

    `y = 2x - 3`

    `y = 2·3 - 3 = 3`

Observem que la solució (3,3) del sistema és el punt de tall de les dues funcions.



- En la companyia de telefonia mòbil Telefone cal pagar 10€ fixos al mes i 1€ per minut consumit. En la companya Airfonica 2€ per minut sense quota fixa. Calcula tant gràficament com analíticament en quines condicions és millor contractar els serveis d'una companyia o l'altre.



- Troba l'equació de les següents rectes:

a)

b)

c)

d) Dibuixa les rectes anteriors amb el programa Funcions.



- Troba l'equació de les següents rectes:

a)

b)

c)

d) Perquè no pots dibuixar aquestes funcions amb el programa Funcions?



- Troba l'equació de les següents rectes:

a)

b)

c)

d)

e) Dibuixa les rectes anteriors amb el programa Funcions.



- Troba l'equació de les següents rectes:

a)

b)

c)

d)

e) Dibuixa les rectes anteriors amb el programa Funcions.



- a) Troba l'equació de la recta que passa pel punt (0,-3) i pel punt (1, 0).

b) Dibuixa-la a mà.

c) Dibuixa-la amb el programa funcions a partir dels dos punts.

d) Dibuixa-la amb el programa funcions fent servir l'equació trobada en l'apartat a.



- a) Troba l'equació de la recta que passa pel punt (3,1) i té de pendent 2.

b) Dibuixa-la a mà.

c) Dibuixa-la amb el programa funcions fent servir l'equació trobada en l'apartat a.



- a) Troba l'equació de la recta que passa pels punts: (-1, 1) i (2, 3).

b) Dibuixa-la amb el programa funcions a partir dels dos punts.

c) Dibuixa-la amb el programa funcions fent servir l'equació trobada en l'apartat a.



- a) Troba l'equació de la recta que passa pels punts: (-2, 1) i (2, -4).

b) Dibuixa-la amb el programa funcions a partir dels dos punts.

c) Dibuixa-la amb el programa funcions fent servir l'equació trobada en l'apartat a.



- Troba l'equació general de les rectes dels dos problemes anteriors.



- Dibuixa amb el programa funcions les rectes, prèviament cal trobar-ne la seva equació explícita
    a) x + y = 2

    b) 2x - y = -3

    c) 3x + 4y = 2

    d) -x + 3y = 5


- Dibuixa la següent funció definida a trossos:


- Dibuixa la següent funció definida a trossos:


- Dibuixa la següent funció definida a trossos:


- Troba la fórmula de l'equació de la següent funció que la seva gràfica és:




- Troba la fórmula de l'equació de la següent funció que la seva gràfica és:




- a) Troba la fórmula de l'equació de la següent funció que la seva gràfica és:


b) Sabries dir on és contínua l'anterior funció?



- a) Calcula la taxa de variació mitjana de la funció entre els punts 0 i 2.

b) Calcula la taxa de variació mitjana de la funció entre els punts -2 i 1.


Solució:

a) `(f(2)-f(0))/(2-0) = (5-1)/(2-0) = 4/2 = 2`

b) `(f(1)-f(-2))/(1-(-2)) = (3-(-3))/(1-(-2)) = 6/3 = 2`



- a) Calcula la taxa de variació mitjana de la funció entre els punts 0 i 2.

b) Calcula la taxa de variació mitjana de la funció entre els punts -2 i 3.


Solució:

a) `(f(2)-f(0))/(2-0) = (1'5-1'5)/(2-0) = 0/2 = 0`

b) `(f(3)-f(-2))/(3-(-2)) = (1'5-1'5)/(3-(-2)) = 0/5 = 0`



- a) Calcula la taxa de variació mitjana de la funció, f(x) = 3x - 1, entre els punts 0 i 3.

b) Calcula la taxa de variació mitjana de la funció anterior entre els punts 0 i 1.

Solució:

a) `(f(3)-f(0))/(3-0) = ((3·3-1) - (3·0-1))/(3-0) = (8-(-1))/(3-0) = 9/3 = 3`

b) `(f(1)-f(0))/(1-0) = ((3·1-1) - (3·0-1))/(1-0) = (2-(-1))/(1-0) = 3/3 = 3`



- Calcula la taxa de variació mitjana de la funció entre els punts:


a) 0 i 2.

b) 1 i 3.

c) 0 i 1

d) -2 i 0

e) -1 i 1

f) -3 i 1

Solució:

a) `(f(2)-f(0))/(2-0) = (4-0)/(2-0) = 4/2 = 2`

b) `(f(3)-f(1))/(3-1) = (9-1)/(3-1) = 8/2 = 4`

c) `(f(1)-f(0))/(1-0) = (1-0)/(1-0) = 1/1 = 1`

d) `(f(0)-f(-2))/(0-(-2)) = (0-4)/(0-(-2)) = -4/2 = -2`

e) `(f(1)-f(-1))/(1-(-1)) = (1-1)/(1-(-1)) = 0/2 = 0`

f) `(f(1)-f(-3))/(1-(-3)) = (1-9)/(1-(-3)) = -8/4 = -2`



- Calcula la taxa de variació mitjana de la funció, f(x) = x2 + 2x - 3, entre els punts:

a) 0 i 3.

b) 0 i 2.

c) 0 i 1

d) -2 i 0

Solució:

a) `(f(3)-f(0))/(3-0) = ((3^2 + 2·3 - 3) - (0^2 + 2·0 - 3))/(3-0) = (12-(-3))/(3-0) = 15/3 = 5`

b) `(f(2)-f(0))/(2-0) = ((2^2 + 2·2 - 3) - (0^2 + 2·0 - 3))/(3-0) = (5-(-3))/(2-0) = 8/2 = 4`

c) `(f(1)-f(0))/(1-0) = ((1^2 + 2·1 - 3) - (0^2 + 2·0 - 3))/(3-0) = (0-(-3))/(3-0) = 3/1 = 3`

d) `(f(0)-f(-2))/(0-(-2)) = ((0^2 + 2·0 - 3) - ((-2)^2 + 2·(-2) - 3))/(0-(-2)) = (-3-(-3))/(0-(-2)) = 0/2 = 0`




- Calcula la taxa de variació mitjana de la funció, f(x) = x2, entre els punts:

a) 1 i 4.

b) 1 i 3.

c) 1 i 2

d) 1 i 1'5

e) 1 i 1'1

f) 1 i 1'01

g) Cap on diries que s'acosta la taxa de variació mitjana a mesura que el segon punt s'acosta a 1.

Solució:

a) `(f(4)-f(1))/(4-1) = (4^2-1^2)/(4-1) = (16-1)/(4-1) = 15/3 = 5`

b) `(f(3)-f(1))/(3-1) = (3^2-1^2)/(4-1) = (9-1)/(3-1) = 8/2 = 4`

c) `(f(2)-f(1))/(2-1) = (2^2-1^2)/(2-1) = (4-1)/(2-1) = 3/1 = 3`

d) `(f(3)-f(1'5))/(1'5-1) = (1'5^2-1^2)/(1'5-1) = (2'25-1)/(1'5-1) = (1'25)/(0'5) = 2'5`

e) `(f(1'1)-f(1))/(1'1-1) = (1'1^2-1^2)/(1'1-1) = (1'21-1)/(1'1-1) = (0'21)/(0'1) = 2'1`

f) `(f(1'01)-f(1))/(1'01-1) = (1'01^2-1^2)/(1'01-1) = (1'0201-1)/(1'01-1) = (0'0201)/(0'01) = 2'01`

g) `2`



- Des de fa un temps, per controlar la velocitat dels cotxes, la Direcció General de Trànsit ha començat a instal·lar els anomenats, "radar per tram". Podries explicar quina diferència hi ha amb els radars tradicionals i que té a veure amb els exercicis anteriors.

Solució:

Un radar està compost de dos càmeres de fotografiar en dos llocs diferents entre els quals es coneix la distància. Es fa una foto quan passa un cotxe davant de cada càmera. Conegut l'instant en que es fa cadascuna de les fotos, es pot saber el temps que triga el cotxe en anar d'un punt a l'altre. Si dividim la distancia entre el temps, tenim la velocitat mitjana entre els dos punts (Taxa de variació mitjana de la funció e(t)). En cas de que sigui superior a la permesa, s'envia la corresponent sanció al conductor.

El radar tradicional fa una foto en un punt concret i mitjançant un radar (es pot fer per reflexió doppler) es pot conèixer la velocitat. En aquest cas, el que es mesura és la velocitat instantània (derivada de la funció e(t) en un punt).

En el primer cas no cal un radar, excepte per conèixer la presencia del cotxe, però es pot fer per un sistema informàtic de reconeixement d'imatges. En resum el nou mètode es pot considerar menys sofisticat que l'anterior.



- Indica el domini de les funcions següents:



- Dibuixa les funcions anteriors amb el programa funcions i indica, en cas de que en tingui:

a) El recorregut.

b) Arrels

c) Ordenada a l'origen.

d) Asímptotes verticals.

e) Asímptotes horitzontals.

f) Punts de discontinuïtat.

g) Intervals de creixement i de decreixement.

h) Màxims i mínims.




- Tot i que les següents funcions les estudiarem en el tema trigonometria, amb el programa funcions posa en Origen eix X = -4pi, Unitat eix X = pi i Final eix X = 4pi.

a) Dibuixa la funció sin(x)

b) En una altra finestra del programa funcions dibuixa la funció sin(2x)

c) Què observes en les dues gràfiques?

d) Quant val el període de cada funció?

Solució:

a)

b)

c) Que són dues funcions periòdiques

d) El periode de la primera és 2π. El de la segona és π.



- La presentació següent explica com calcular la quota íntegra a pagar a partir d'una certa base liquidable. O sigui quant toca pagar d'impostos a partir dels ingressos d'una persona.


    FE de ERRATES:

    En la diapositiva 4 hi ha un error. On posa:
    Pels 17.707,2€ del 1r tram cal calcular el 24,75% de 10000.

    Hauria de posar:
    Pels 17.707,2€ del 1r tram cal calcular el 24,75% de 17.707,2.

    Mercès, Carla, Cèlia i Joana. 4t B INS Pla de l'Estany (2020/21).

a) D'una base liquidable de 100.000€, calcula la quota íntegra?

b) Quin % paga d'impostos?

c) Si una persona ha de pagar 50.000€ d'impostos, quina era la base liquidable?

d) Hi ha gent que diu que a vegades si t'apujen el sou, si passes de tram acabaràs pagant més. És possible això?

e) Fes un full de càlcul que puguis escriure en una cel·la la base liquidable i en una altra cel·la surti la quota íntegra a pagar i en una altra cel·la el % de diners que es paga a hisenda.