Quadern de Fraccions
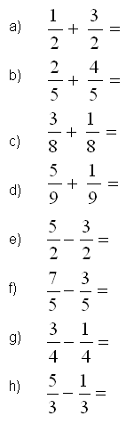
Suma i resta de fraccions d'igual denominador
Quan sumem o restem fraccions amb el mateix denominador, obtenim una altra
fracció que té el mateix denominador i que té com a numerador la suma o resta
dels numeradors.


Escriu els resultats simplificats en els buits, en forma a/b:
a)
b) c) d) e) f) g) h)Llicenciat sota la Creative Commons Attribution Non-commercial Share Alike 3.0 License