El programa Wiris
A) Posada en marxa
El programa Wiris no es descarrega, sinó
que es treballa amb ell "en línia". Per activar-lo cal fer http://calculadora.edu365.cat
B) Elements fonamentals
El programa Wiris és una calculadora. Té
moltíssimes funcions, que pots explorar pel teu compte. Les idees
bàsiques del programa són:
| * La pantalla s'organitza en blocs.
* Cada bloc consta de vàries definicions, operacions o instruccions. * Un bloc té un botó de càlcul, marcat amb el signe d'igualtat. * Quan es prem el botó de càlcul es calcula tot allò que hi ha en el bloc |
![]() |
La pestanya Operacions conté, a la part superior,
els símbols més necessaris, com aquests:
![]() |
![]() |
![]() |
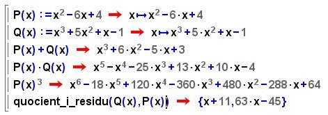
C) Definicions i càlculs
Això és la definició de P(x) i Q(x). Fixa't que es posa := . Quan es calcula una definició no surt res de nou; només es torna a copiar.


Si et situes fora del bloc, les defincions no serveixen de res. Fixa't en aquest exemple:

Els càlculs es fan el mé exactes possibles, o sigui sense decimals. Fixa't en la divisió de 3 entre 4. Si vols decimals, fes seguir algun dels nombres d'un punt decimal.

Per resoldre una equació has de posar resol(equació). Fixa't la diferència si poses el punt decimal.

Aquest bloc mostra quatre definicions, un càlcul amb fraccions racionals, i una equació racional. Les solucions estan en forma decimal perquè no hi ha una forma més exacta.

Un exemples de càlcul amb radicals:
Un exemple d'una equació irracional: