Operació amb fraccions:

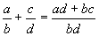
Procediments necessaris quan es volen fer operacions amb valors exactes dels nombres racionals. Per exemple, la suma de fraccions es pot fer segons la fórmula i el producte de la manera següent:

Clica aquí per operar