
|
Tothom ha fet algun cop reduccions i ampliacions amb fotocopiadora. El que no és tan fàcil de saber és què cal posar per obtenir el que hom vol.
Ampliant i recuperant l'original
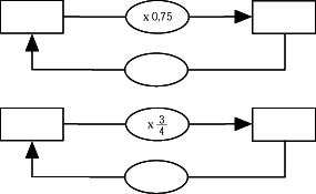
- Observa el mapa del dibuix d'un llibre (a l'esquerra) i la seva reducció a 0,75 (a la dreta). Reproduir igual és col·locar 1. Si reduïm a 1/2, en recuperar es fa 2/1.

Imagina que has perdut l'original i només tens la còpia petita. Què has de fer? Quin factor has d'ampliar? Creus que és un 25%? Si no saps com fer-ho observa un diagrama com el següent, o bé amb fraccions.

- De fet és important reconèixer formes equivalents d'escriure una mateixa operació.
| Multiplicar per 0,25 |
Dividir per 1/0,25 |
| Reduir al 70% |
Multiplicar per... |
| x 0,5 x 0,5 |
x |
| Reduir 0,7 |
Reduir... |
| -0,5 -0,5 |
|
| Reduir 0,7 i reduir 0,7 |
|
| Passar de 6 a 3 |
Multiplicar per 0,5 |
|