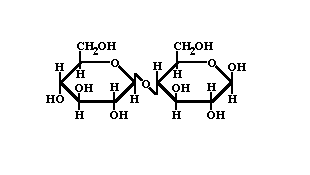
10. Quant enllaços hemiacetàl·lics conté aquesta molècula?:

9. Com es presenta en estat sòlid?:

8. Quina solubilitat té aquesta molécula?:

7. Quina prova química permet reconèixer aquesta molècula?:

6. Quina molècula és?:

5. ¿Com s'anomena aquesta molècula?:

4. Quins àtoms de carboni de cada glucosa uneix l'enllaç?:

3. Quin tipus d'enllaç uneix els dos monòmers d'aquesta molècula?:

2. Classifica aquesta molècula:

1. Quin tipus de principi immediat és aquesta molècula?: