38. Quin tipus de lípid és la molècula M?:
Fosfoglicèrid
Fosfoesfingosina.

37. Quin tipus de lípid és la molècula M?:
Fosfolípid
Glucolípid.

36. Quin tipus de lípid és la molècula M?:
Lípid saponificable simple
Lípid saponificable complex.

35. Quin tipus de lípid és la molècula M?:
Àcid gras
Lípid saponificable.
Lípid insaponificable (Isoprenoide).

34. Quin tipus de lípid és la molècula L?:
Acilglicèrid
Cèrid.

33. Quin tipus de lípid és la molècula L?:
Lípid saponificable simple
Lípid saponificable complex.

32. Quin tipus de lípid és la molècula L?:
Àcid gras
Lípid saponificable.
Lípid insaponificable (Isoprenoide).

31. Quin tipus de lípid és la molècula K?:
Monoterpè
Sesquiterpè.
Diterpè.
Triterpè.
Tetraterpè.
Politerpè.

30. Quin tipus de lípid és la molècula K?:
Terpè
Esteroide.
Prostaglandina.

29. Quin tipus de lípid és la molècula K?:
Àcid gras
Lípid saponificable.
Lípid insaponificable (Isoprenoide).

28. Quin tipus de lípid és la molècula J?:
Glucoesfingomielina
Cerebròsid.
Gangliòsid.

27. Quin tipus de lípid és la molècula J?:
Fosfolípid
Glucolípid.

26. Quin tipus de lípid és la molècula J?:
Lípid saponificable simple
Lípid saponificable complex.

25. Quin tipus de lípid és la molècula J?:
Àcid gras
Lípid saponificable.
Lípid insaponificable (Isoprenoide).

24. Quin tipus de lípid és la molècula I?:
Monoterpè
Sesquiterpè.
Diterpè.
Triterpè.
Tetraterpè.
Politerpè.

23. Quin tipus de lípid és la molècula I?:
Terpè
Esteroide.
Prostaglandina.

22. Quin tipus de lípid és la molècula I?:
Àcid gras
Lípid saponificable.
Lípid insaponificable (Isoprenoide).

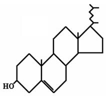
21. Quin tipus de lípid és la molècula H?:
Terpè
Esteroide.
Prostaglandina.

20. Quin tipus de lípid és la molècula H?:
Àcid gras
Lípid saponificable.
Lípid insaponificable (Isoprenoide).

19. Quin tipus de lípid és la molècula G?:
Àcid gras saturat
Àcid gras monoinsaturat
àcid gras poliinsaturat.

18. Quin tipus de lípid és la molècula G?:
Àcid gras
Lípid saponificable.
Lípid insaponificable (Isoprenoide).

17. Quin tipus de lípid és la molècula F?:
Monoterpè
Sesquiterpè.
Diterpè.
Triterpè.
Tetraterpè.
Politerpè.

16. Quin tipus de lípid és la molècula F?:
Terpè
Esteroide.
Prostaglandina.

15. Quin tipus de lípid és la molècula F?:
Àcid gras
Lípid saponificable.
Lípid insaponificable (Isoprenoide).

14. Quin tipus de lípid és la molècula E?:
Fosfoglicèrid
Fosfoesfingomielina.

13. Quin tipus de lípid és la molècula E?:
Fosfolípid
Glucolípid.

12. Quin tipus de lípid és la molècula E?:
Lípid saponificable simple
Lípid saponificable complex.

11. Quin tipus de lípid és la molècula E?:
Àcid gras
Lípid saponificable.
Lípid insaponificable (Isoprenoide).

10. Quin tipus de lípid és la molècula D?:
Àcid gras saturat
Àcid gras monoinsaturat
àcid gras poliinsaturat.

9. Quin tipus de lípid és la molècula D?:
Àcid gras
Lípid saponificable.
Lípid insaponificable (Isoprenoide).

8. Quin tipus de lípid és la molècula C?
Monoacilglicèrid.
Diacilglicèrid.
Triacilglicèrid.

7. Quin tipus de lípid és la molècula C?:
Acilglicèrid.
Cera.

6. Quin tipus de lípid és la molècula C?:
Lípid saponificable simple
Lípid saponificable complex.

5. Quin tipus de lípid és la molècula C?:
Àcid gras
Lípid saponificable.
Lípid insaponificable (Isoprenoide).

4. Quin tipus de lípid és la molècula B?:
Terpè
Esteroide.
Prostaglandina.

3. Quin tipus de lípid és la molècula B?:
Àcid gras
Lípid saponificable.
Lípid insaponificable (Isoprenoide).

2. Quin tipus de lípid és la molècula A?:
Àcid gras saturat
Àcid gras monoinsaturat
àcid gras poliinsaturat.

1. Quin tipus de lípid és la molècula A?:
Àcid gras
Lípid saponificable.
Lípid insaponificable (Isoprenoide).