La miopatía de Miyoshi és una distròfia muscular determinada per una mutació en el gen que codifica una proteïna que és necessària per desenvolupar un múscul sa.

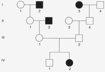
En aquest arbre genealògic, els cercles representen dones i els quadrats, homes. Els individus que pateixen la malaltia estan en negre:

A la població de Sueca, a València, s’ha trobat 9 afectats de miopatia de Miyoshi, d’entre una població total de 25.000 habitants. A la resta de la Comunitat Valenciana, que compta amb aproximadament 4.450.000 habitants sense comptar Sueca, només hi ha 4 casos més, i a la resta del món és també molt poc freqüent; per exemple al Japó, un de cada 440.000 habitants. Sueca va ser repoblada fa 800 anys per 17 colons provinents de Tarragona.
10.Compareu les freqüències i justifiqueu les diferències entre la de Sueca i les altres:
9.Calculeu les freqüències de la malaltia al Japó:
8.Calculeu les freqüències de la malaltia a la Comunitat Valenciana:
7.Calculeu les freqüències de la malaltia a Sueca:
6.Quins és el genotip de l'individu IV2?:
5.Quins és el genotip de l'individu III2?:
4.Quins és el genotip de l'individu III1?:
3.Quins és el genotip de l'individu I2?:
2.Quins és el genotip de l'individu I1?:
1.Raoneu el patró d’herència (dominant/recessiu; lligat al sexe/autosòmic) de la malaltia: