Solució de sopa de números alcalins (bases)

Establim, abans de tot, la següent relació que ens serà útil. Si x,y i z representen dígits com a mínim d'un nombre de base 7: ja que no podem representar un nombre de base 7 amd dígits de valor inferior a 0 (mai) o, en aquest cas, superior a 7 i sempre de valor enter.

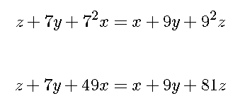
Podem establir, ja que ens donen les dades de la representació del nombre en bases 7 i 9, que la seva representació en decimal tindrá el mateix valor. Per tant podem establir:
Si reduim aquestes equacions a la mínima expressió ens queda:


(fes-hi un click a sobre per si no ho veus bé...)

I, aïllant la incògnita y:

Doncs, y ha de ser múltiple de 8 per complir l'equació i, l'únic valor comprès entre 0 i 7 que sigui múltiple de 8, és el 0. Per tant, ja coneixem el primer valor. Podem buscar els altres. Només hem de substituir y per 0:

Els únics valors per z i x enters que compleixen aquesta equació ens donen la solució, que juntament am el valor prèviament trobat de y, ens dóna la solució:

Enunciat del problema
Tornar a l'index de problemes
Tornar a la pàgina principal