Solució
Els nombres de base n es poden descomposar d'aquesta manera:


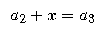
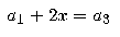
Com que es tracta d'una progressió aritmètica sabem que:



Substituïm els termes de la segona equació:
De la que aconseguim la raó en base n:
Ara fem el mateix amb la primera equació, substituïnt a més la x:



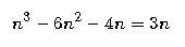
Ara que tenim una equació de segon grau, la resolem:
I n'obtenim els resultats n = -1 i n = 7. Dels quals descartem el -1,
perquè no és possible aconseguir nombres en base -1.
La raó, entre d'altres mètodes, l'aconseguim de x = 3n, que és 27
Els nombres estan en base 7 i la raó és 21 (Ja us havia dit que el camp era una mica estrany)
Enunciat
Tornar a l'index de problemes
Tornar a la pàgina principal