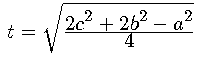
Sigui ABC un triangle qualsevol de costats a, b, c. Sigui P un punt del costat BC, i siguin m i n les longituds dels segments BP i BC respectivament. Sigui t la longitud del segment AP. Demostreu que:

Tornar a l'index de problemes
Tornar a la pągina principal