Nombres reals |
Una potència és la forma abreujada d’escriure una multiplicació de factors iguals:
| • potència d’exponent positiu |
 |
| • potència d’exponent negatiu |
 |
|
En una potència amb exponent positiu que té com a base un nombre racional:
• Si la base és un nombre positiu, la potència és sempre positiva.
• Si la base és un nombre negatiu, la potència és positiva si l’exponent és parell i és negativa si l’exponent és senar. |
Sigui quin sigui el valor de a (a ¹ 0) sempre es compleix que:  |
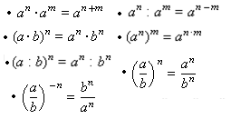
Recordem que:  |
| Una potència de base 10 i exponent positiu és igual a la unitat seguida de tants zeros com indiqui l’exponent. |
| Una potència de base 10 i exponent negatiu és igual a la unitat dividida entre aquesta potència amb exponent positiu. |
| La notació científica és una manera d’expressar nombres mitjançant el producte d’un nombre més gran o igual que 1 i més petit que 10, multiplicat per una potència de 10. L’exponent de la potència 10 l’anomenem ordre de magnitud. |
| Els nombres irracionals són nombres decimals amb un nombre il·limitat de xifres decimals no periòdiques. A més, no es poden expressar en forma de fracció i, per tant, no són nombres racionals. |
Els nombres reals els representem amb el símbol , i són el conjunt format pels nombres racionals i els irracionals. |
|
|