Matemàtiques 2n BAT - Exercicis de vectors

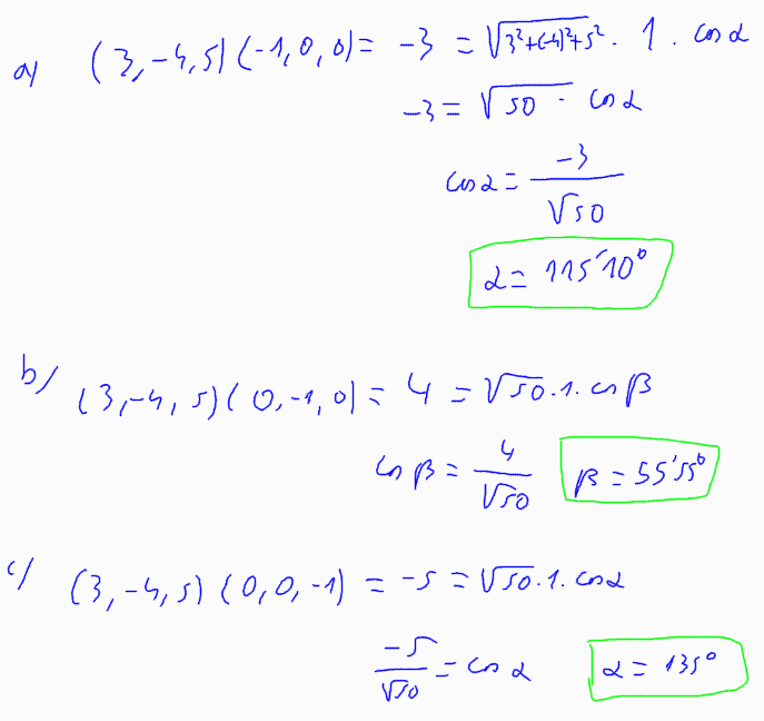
Calcula els angles que form el vector (3, -4, 5) amb els vectors de la base canònica amb sentit negatiu.