Matemàtiques 2n BAT - Exercicis de vectors
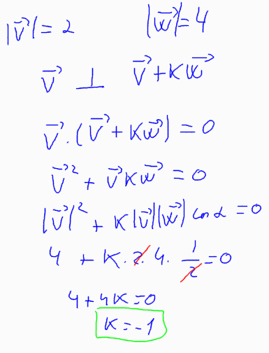
Tenim dos vectors
v
i
w
amb mòduls 2 i 4, si formen un angle de 60º, calculeu
k
de manera que el vector
v
+
kw
sigui perpendicular a
v
.