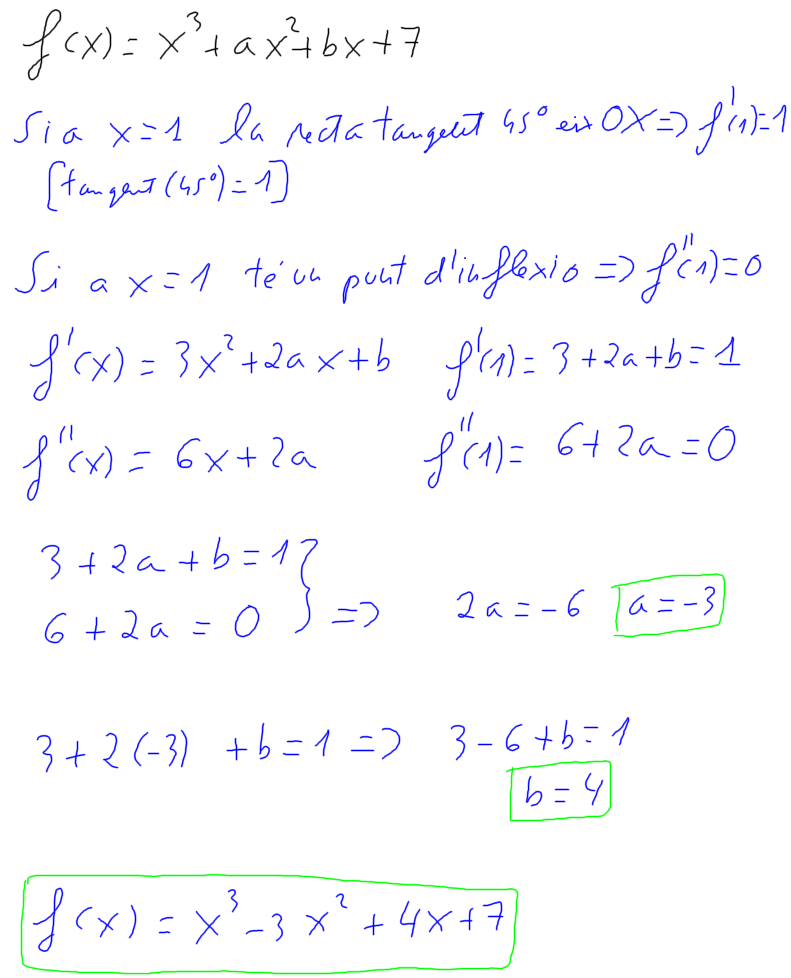
2-Sigui f(x) = x3 + ax2 + bx + 7. Troba a i b de manera que la gràfica de la funció f(x) tingui per a x = 1 un punt d'inflexió i la recta tangent en aquest punt formi un angle de 45º amb l'exi OX.