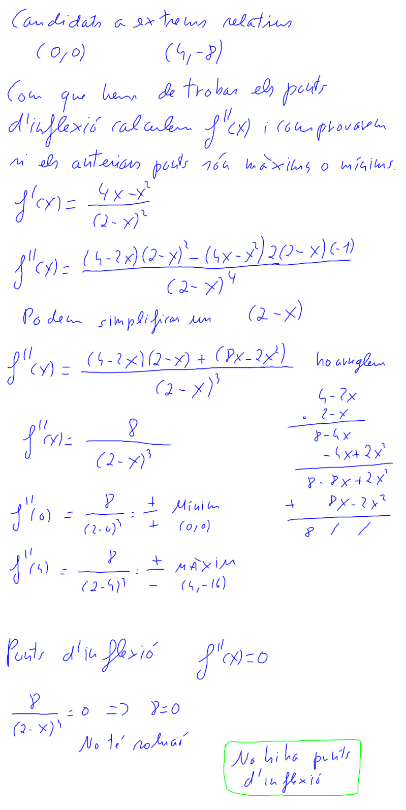
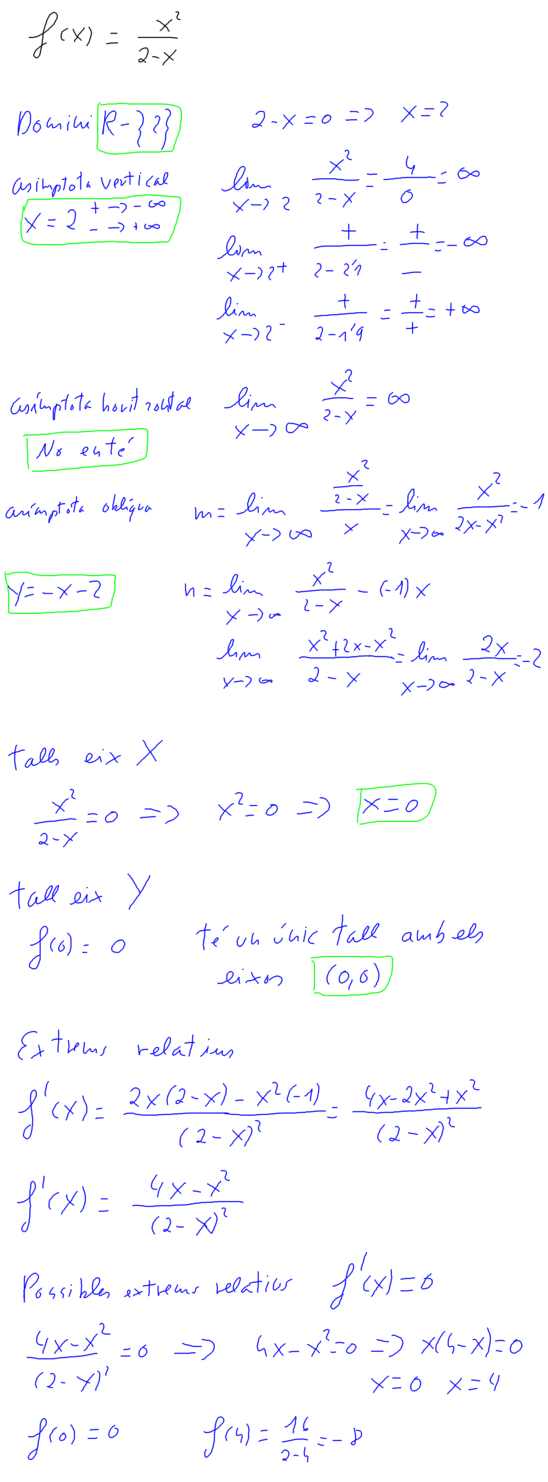
3-Representa gràficament la funció