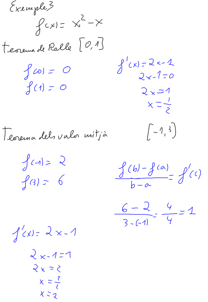
Exemples aplicació Teorema de Rolle i Teorema del valor mitjà