Exercicis de representació de funcions


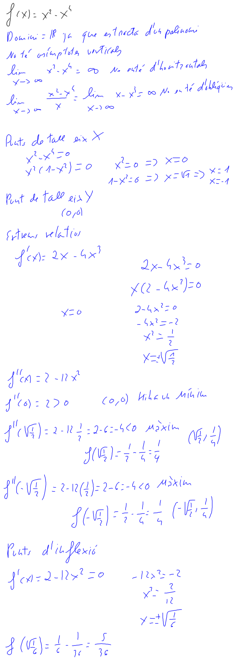
1-Dibuixa la gràfica de la funció:







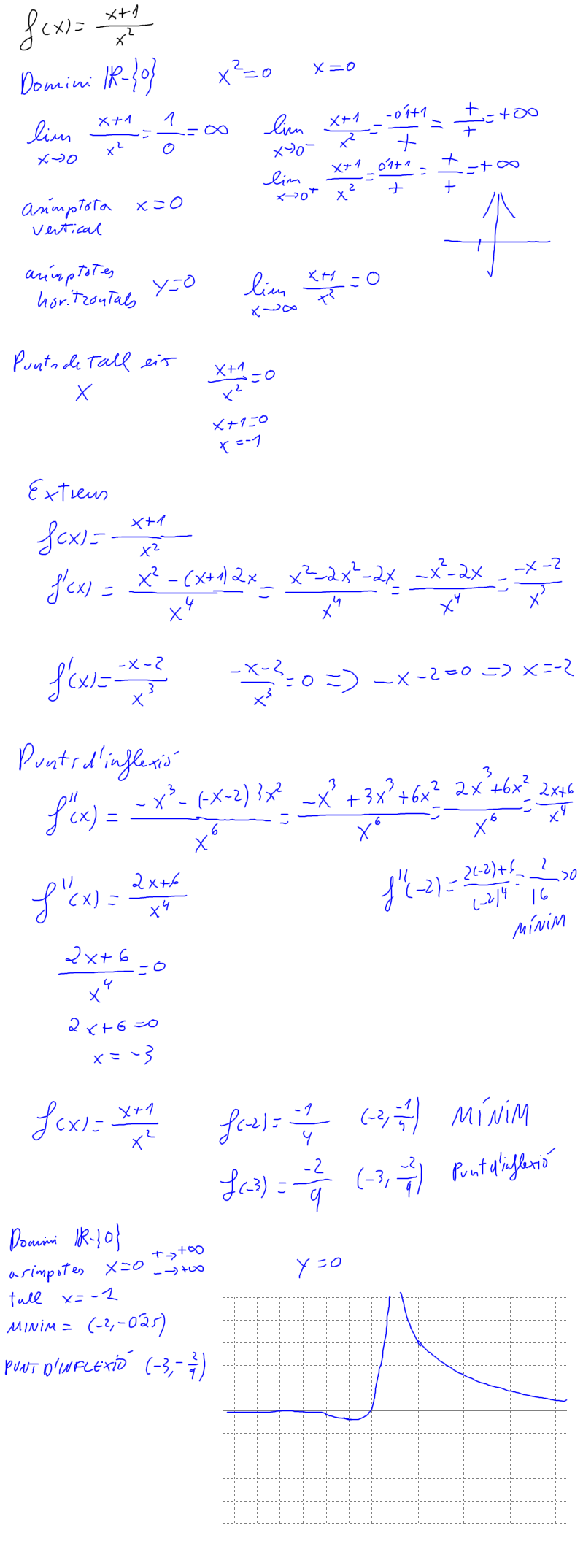
2-Dibuixa la gràfica de la funció:







A nivell ilustratiu dibuixem la gràfica amb el programa funcions per a windows:



Si fem zoom a l'escala de l'eix de les Y podem veure una mica millor on hi ha el mínim i el punt d'inflexió: