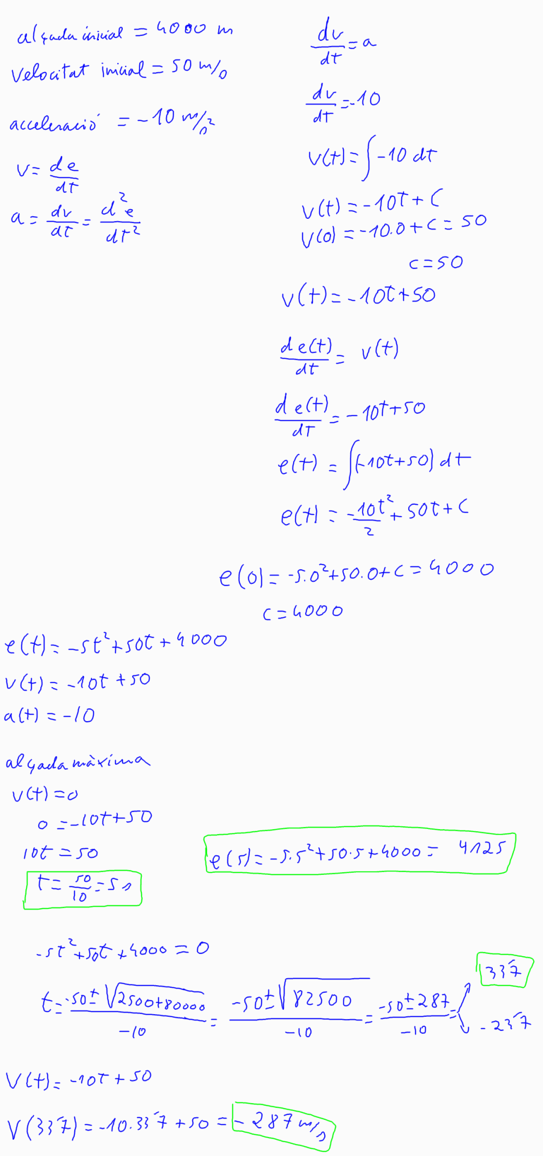
Exercicis d'aplicació de la integral definida

1-Tenim un globus a 4000 metres d'alçada que està pujant amb una velocitat constant de 50 metres/segon. Deixem anar una pilota, sense llençar-la. Si suposem que no hi ha aire, ho sigui la pilota no rep cap mena de fregament es demana: 1-Quina és l'alçària màxima que assolirà. 2-En quin instant tocarà el terra. 3-Amb quina velocitat impactarà amb el terra