Exercicis d'aplicació de la integral definida

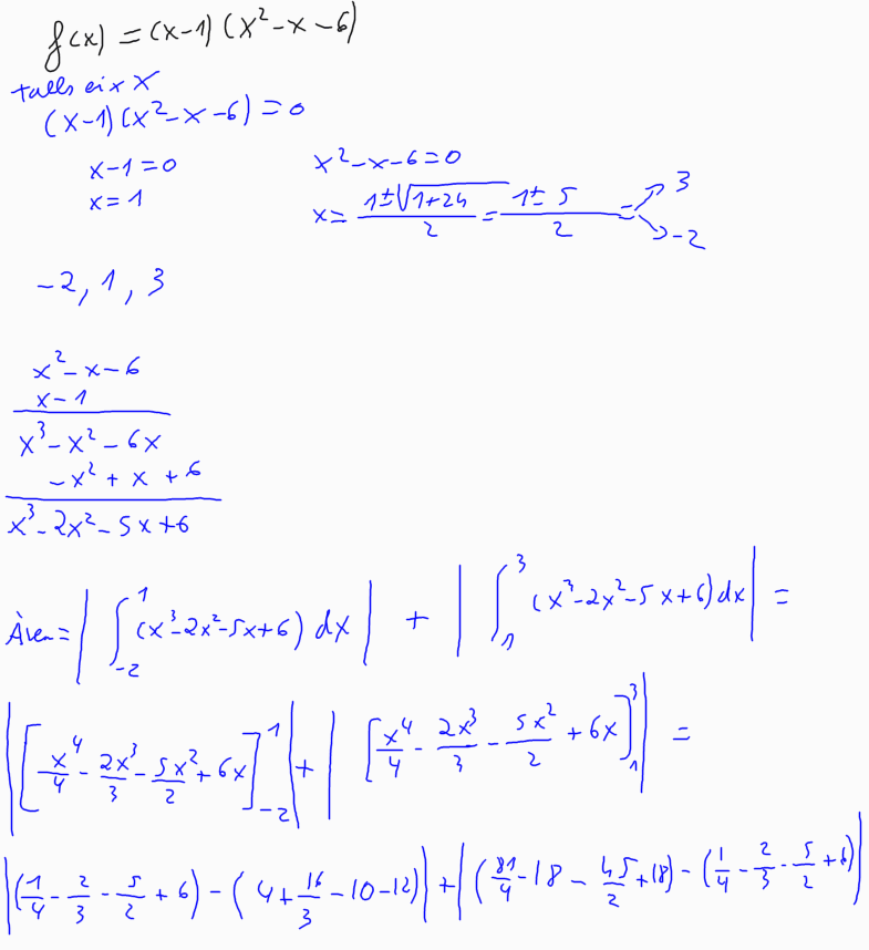
7-Calcula l'àrea entre f(x) = (x - 1)·(x2 - x - 6) i l'eix d'abscisses.



No està acabat