Exercicis de càlcul de la integral indefinida de fraccions racionals

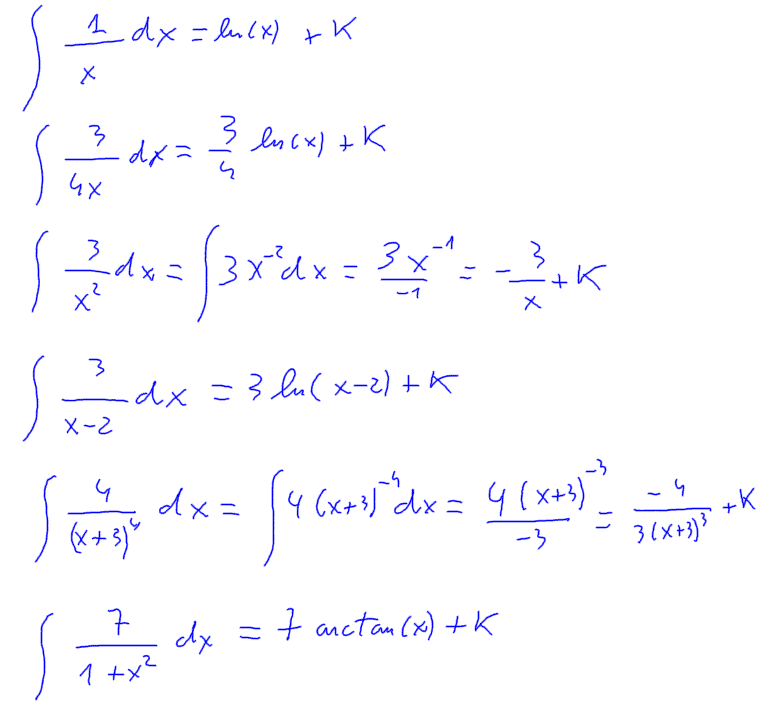
    Integrals indefinides de fraccions racionals "immediates":





    EXERCICIS:

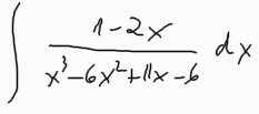
    1-


      solució


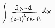
    2-


      solució


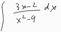
    3-


      solució


    4-


      solució


    5-


      solució


    6-


      solució


    7-


      solució


    8-


      solució


    9-


      solució


    10-


      solució


    11-


      solució