10.   

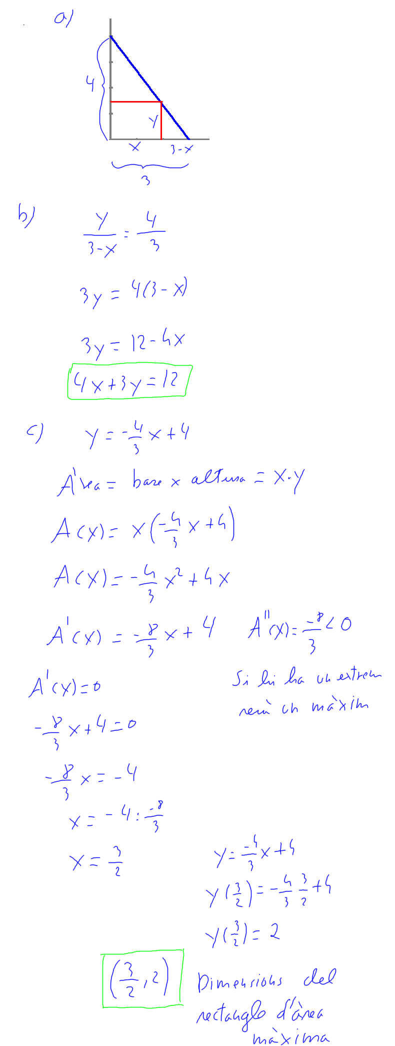
(2011-juny-4) 6. Dins d'un triangle rectangle, de catets 3 i 4 cm, hi ha un rectangle. Dos costats del rectangle estan situats en els catets del triangle i un dels vèrtexs del rectangle és a la hipotenusa del triangle.

a) Feu un esbós de la situació descrita.

b) Si x és la longitud del costat del rectangle que està situat en el catet petit i y és

l'altre costat del rectangle, comproveu que es compleix que 4x+3y=12.

c) Determineu les dimensions del rectangle perquè l'àrea sigui màxima.

[0,5 punts per l'apartat a; 0,5 punts per l'apartat b; 1 punt per l'apartat c]