Recull d'exercicis de selectivitat. Geometria

2. (2009-juny-4) 6. Siguin r i s dues rectes de l’espai les equacions respectives de les quals, que depenen d’un paràmetre real b, són les següents:

,

a) Trobeu el punt de tall de la recta r amb el pla d’equació x = 0 i el punt de tall de la recta s amb aquest mateix pla.
b) Calculeu un vector director per a cada una de les dues rectes.
c) Estudieu la posició relativa de les dues rectes en funció del paràmetre b.
[1 punt per l’apartat a; 1 punt per l’apartat b; 2 punts per l’apartat c]

a)

Punt de tall


x = 0

y + 3z = 1
2y + 5z = 1

Solució:

y = -2
z = +1

Punt de tall (0, -2, 1)

a')

Punt de tall


x = 0



0 = y - b
0 = z + 1

y = b
z = -1

Punt de tall (0, b, -1)


b)

Per trobar el vector director de la primera recta podriem trobar les equacions paramètriques o bé calcular el producte vectorial dels dos vectors associats dels dos plans que defineixen aquesta recta. Ho farm de la segona manera:

(-1, 3 - 5b, 2b - 1)

Per trobar el vector director de la segona, és més fàcil, senzillament cal agafar els 3 denominadors de l'equació continua.

(1, b+1, -1)


c)

Per trobar la posició relativa de les dues rectes ho podriem fer troban l'equació general de la segona recta i estudiar el sistema de 4 equacions amb 3 incògnites resultant. Però també ho podem fer d'una altra manera podem veure quina relació hi ha entre els dos vectors directors de les dues rectes i el vector PQ, sent P un vector de posició de la primera recta i Q un vector director de la segona recta.

Com a P agafem el punt (0, -2, 1) trobat en l'apartat a

I Q agafem el punt (0, b, -1) trobat en l'apartat a'.

PQ = (0, b, -1) - (0, -2, 1) = (0, b+2, -2)

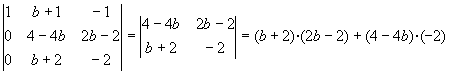
Anem a discutir el rang de la matriu formada per aquests vector i els dos vectors directors:


El rang d'aquest matriu com a mímin és dos ja que si agafem la matriu 2 x 2 amb els extrems:


Cerquem quan no serà 3 el rang.


I mirem quan això serà 0

(b + 2) · (2b - 2) + (4 - 4b)·(-2) = 0

b2 - 3b + 2 = 0

b = 1
b = 2

c1)

Si b diferent de 1 i 2 aquest últim determinant és diferent de 0 la qual cosa vol dir que les dues rectes es creuen.

c2)

Si b = 1

Els vectors directors

(-1, 3 - 5b, 2b - 1)
(1, b+1, -1)

(-1, -2, 1)
(1, 2, -1)

Són paral·lels per la qual cosa les dues rectes són paral·leles

c3)

Si b = 2

Els vectors directors

(-1, 3 - 5b, 2b - 1)
(1, b+1, -1)

(-1, -3, 3)
(1, 3, -1)

No són paral·lels. Ho sigui les dues rectes es tallen en un punt.