Recull d'exercicis de selectivitat. Geometria

 

6.       

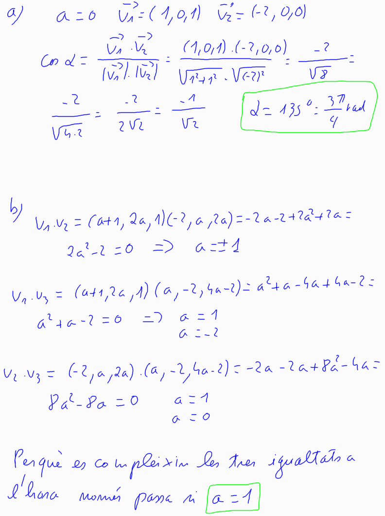
(2009-setembre-1) 4. Donats els vectors , y de :

a) Calculeu l'angle que formen y quan a = 0.

b) Trobeu el valor del paràmetre a perquè els vectors , y siguin perpendiculars dos a dos.

[1 punt per cada apartat]