Recull d'exercicis de selectivitat. Integral Definida

1.       

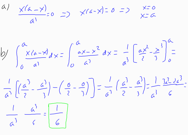
(2009-juny-4) 3. Considereu la funció , amb a > 0.


a) Trobeu els punts de tall de la funció f (x) amb l'eix OX.

b) Comproveu que l'ŕrea del recinte limitat per la grŕfica de la funció f (x) i l'eix

d'abscisses no depčn del valor del parŕmetre a.