Recull d'exercicis de selectivitat. Integral Definida

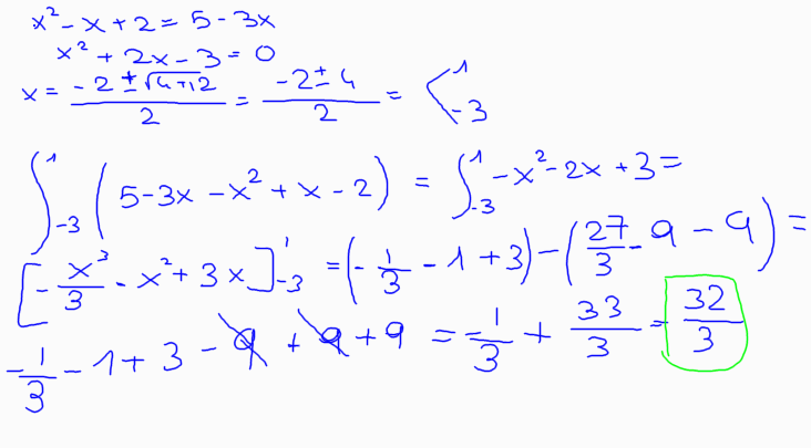
10.   

(2011-juny-4) 1. Calculeu l'àrea del recinte limitat per les corbes d'equació f(x)=x2−x+2 i g(x)=5−3x.

[2 punts]