Recull d'exercicis de selectivitat. Integral Definida

9.       

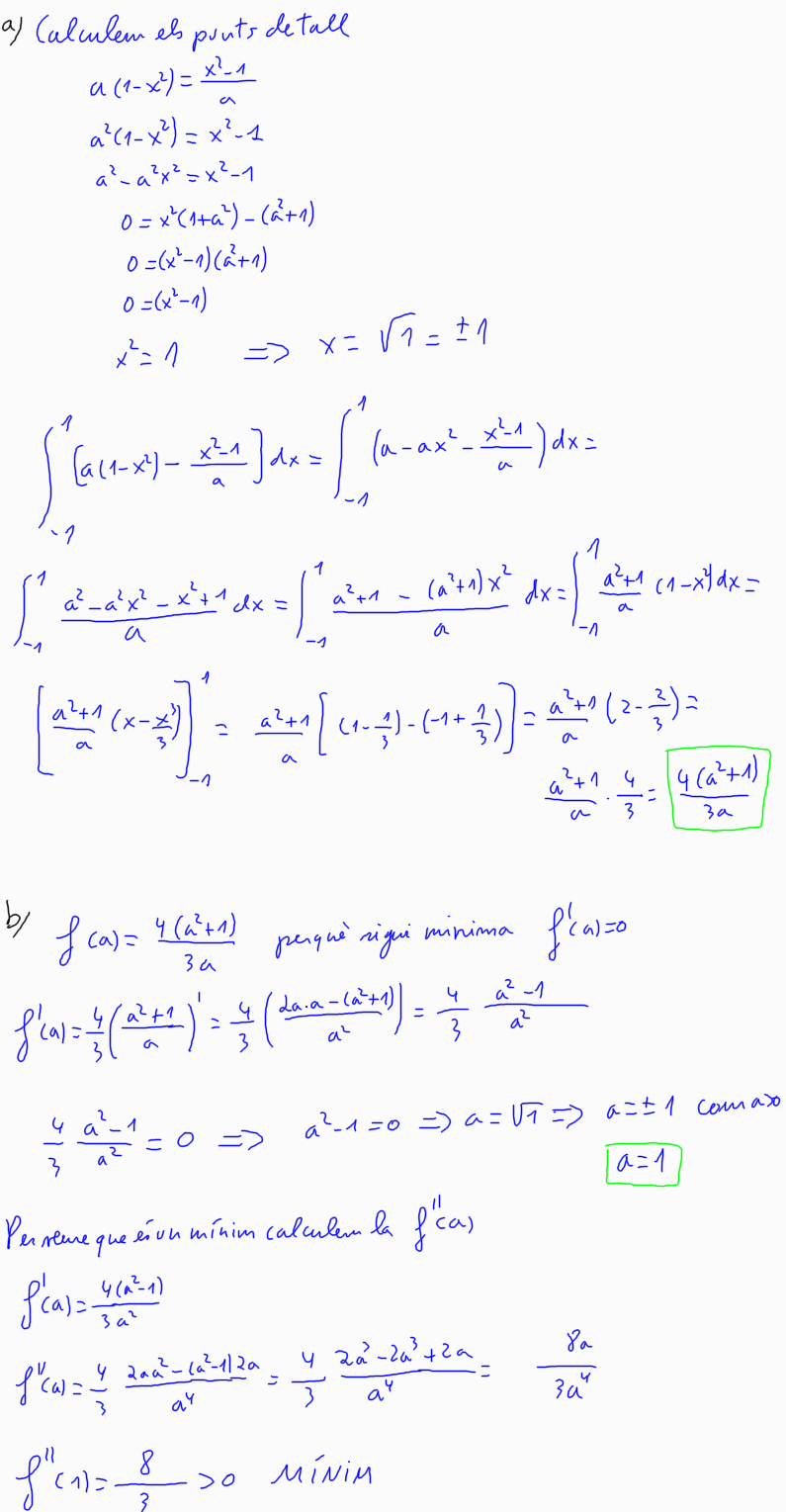
(2011-juny-1) 3. Definim les funcions f (x)=a(1 - x2) i , en què a>0.


a)      Comproveu que l'àrea del recinte limitat per les gràfiques de les funcions és:


b) Calculeu el valor del paràmetre a perquè aquesta àrea sigui mínima.

[1 punt per cada apartat]