Recull d'exercicis de selectivitat. Matrius

 

8.       

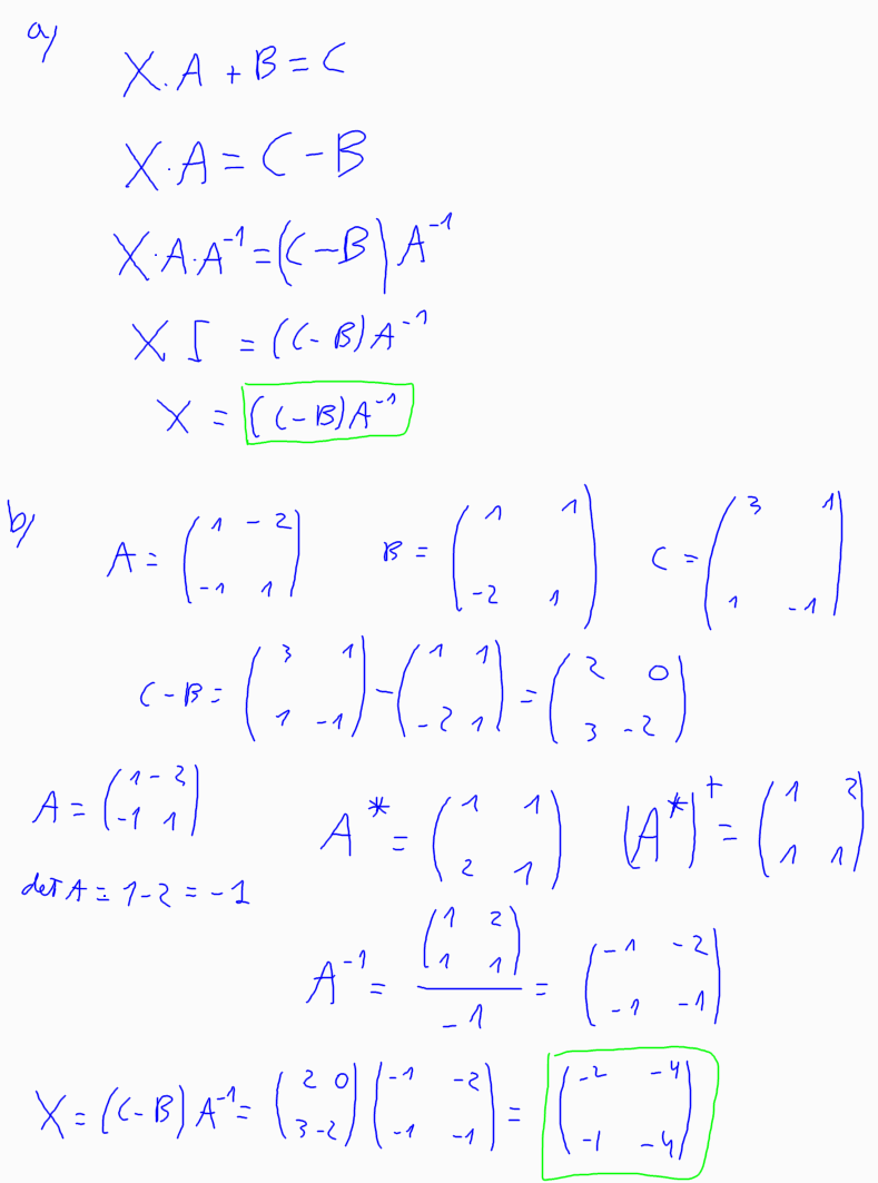
(2011-juny-1) 2. Si tenim la matriu invertible A i l'equació matricial X·A+B=C:

a) Aïlleu la matriu X.

b) Trobeu la matriu X quan , i

[1 punt per cada apartat]