Matemàtiques 4t ESO - Exercicis de polinomis


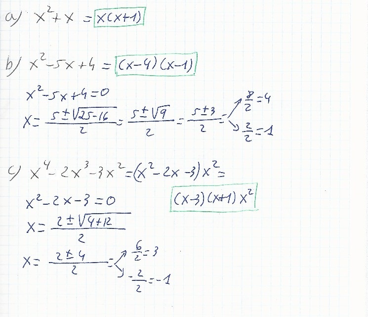
Factoritza els següents polinomis:
    a| x2+x
    b| x2-5x+4
    c| x4-2x3-3x2
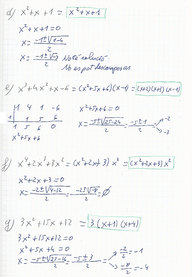
    d| x2+x+1
    e| x3+4x2+x-6
    f| x4+2x3+3x2
    g| 3x2+15x+12
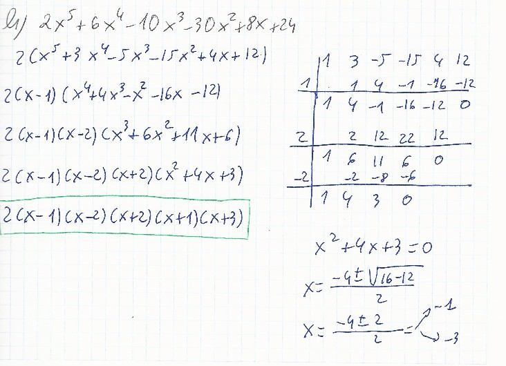
    h| 2x5+6x4-10x3-30x2+8x+24