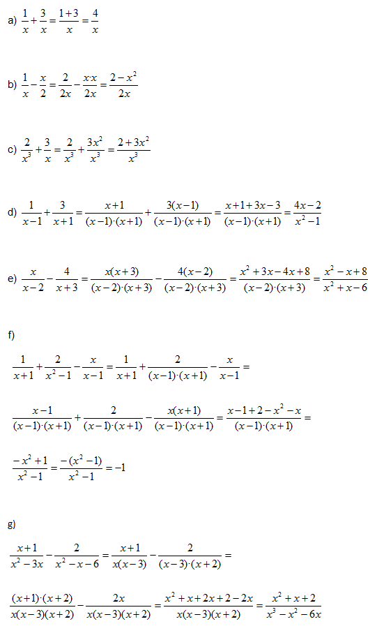
Matemàtiques 4t ESO - Exercicis de polinomis


Calcula les següents operacions amb fraccions algebraiques: