Matemàtiques 4t ESO - Exercicis de polinomis


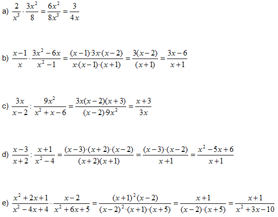
Calcula (i simplifica, si es pot) les següents operacions amb fraccions algebraiques: