Matemàtiques 4t ESO - Exercicis de nombres reals


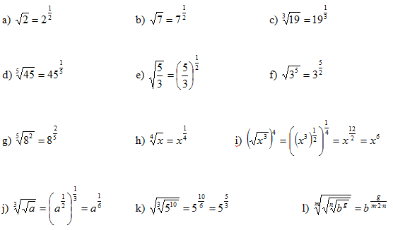
Expresa les següents arrels en forma de potència: