Matemàtiques 4t ESO - Exercicis de nombres reals


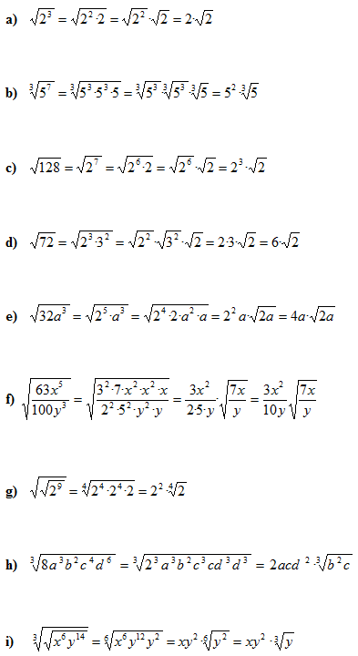
Treu factors i simplifica si es pot: