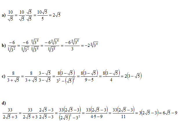
Matemàtiques 4t ESO - Exercicis de nombres reals


Racionalitza: