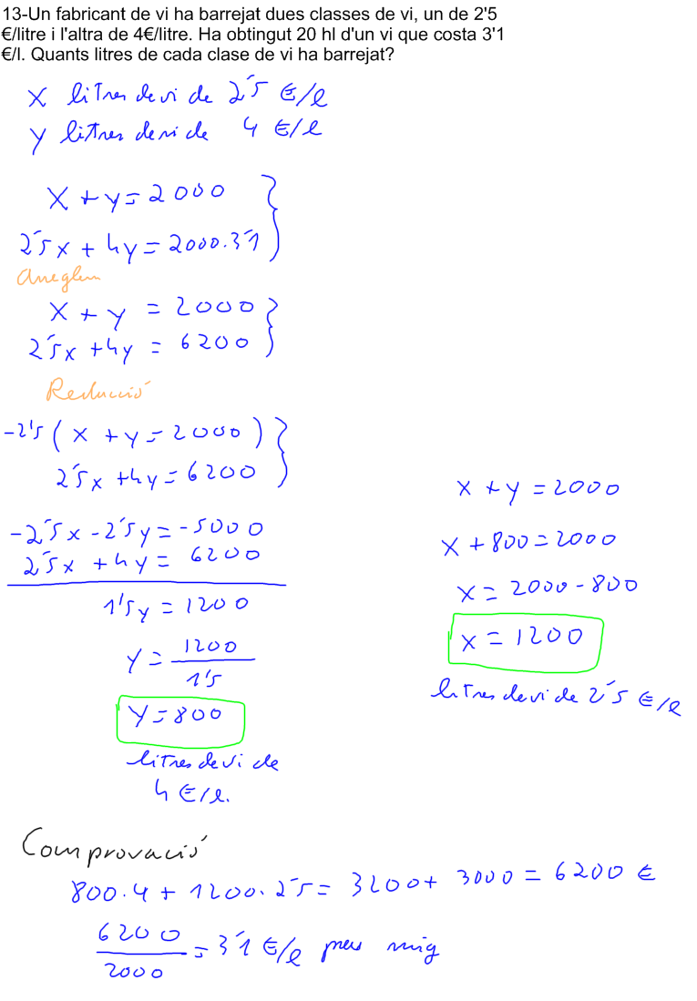
Matemàtiques - 3 ESO - Àlgebra. Sistemes lineals d'equacions