1.3.22-(1996/4/B/Setembre) a)Expliqueu raonadament com han de ser dues matrius rectangulars perquè es puguin multiplicar. Poseu-ne un exemple.
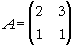
      b) Sabent que Calculeu una matriu tal que A . B = I, on I és la matriu identitat d’ordre 2.(2 p)

      a.Perquè dues matrius es puguin multiplicar el nombre de columnes de la primera matriu ha d’ésser igual al nombre die files de la segona matriu. Això és degut a la forma que hem definit el producte de matrius, elements d’una fila (primera matriu) pels elements de la columna (segona matriu).

      Mn*m * M'm*s = M''n*s


      b.El que ens demanen és trobar la matriu inversa.

      1- Calculem el determinat = 2-3 = -1

      2- Matriu transposta
      2 1
      3 1

      3- Matriu d’adjunts
      1 -3
      -1 2

      4-Dividim pel determinant
      -1 3
      1 -2

      Aquesta última matriu és la matriu inversa, o sigui B.